Türk Diyanet Vakıf-Sen Genel Merkezi
"Dürüst Mücadele, Temiz Sendikacılık"
ÜYELİK İŞLEMLERİ
DİJİTAL KİMLİK KARTI
ARAMA
"Dürüst Mücadele,
Temiz Sendikacılık"
Arama Yapın
Türk Diyanet Vakıf-Sen Genel Merkezi
ANASAYFA
SENDİKAMIZ
YÖNETİM KURULU
KURUMSAL KİMLİK
DENETLEME KURULU
DİSİPLİN KURULU
GÜNDEM
HABERLER
DUYURULAR
BÜLTENLERİMİZ
ŞUBELERİMİZ
BASIN YAYIN
BASINDA BİZ
VİDEO GALERİ
MEVZUAT
Temsilcinin El Kitabı
T.C. Anayasası
657 Sayılı Devlet Memurları Kanunu
Haklarımız ve Sorumluluklarımız
KAZANIMLARIMIZ
ANLAŞMALARIMIZ
ANLAŞMALI KURUMLARIMIZ
MİSAFİRHANEMİZ
FERDİ KAZA SİGORTASI
FKS Anlaşma Metni
FKS Yararlananlar
İLETİŞİM
ANASAYFA
SENDİKAMIZ
YÖNETİM KURULU
KURUMSAL KİMLİK
DENETLEME KURULU
DİSİPLİN KURULU
GÜNDEM
HABERLER
DUYURULAR
BÜLTENLERİMİZ
ŞUBELERİMİZ
BASIN YAYIN
BASINDA BİZ
VİDEO GALERİ
MEVZUAT
Temsilcinin El Kitabı
T.C. Anayasası
657 Sayılı Devlet Memurları Kanunu
Haklarımız ve Sorumluluklarımız
KAZANIMLARIMIZ
ANLAŞMALARIMIZ
ANLAŞMALI KURUMLARIMIZ
MİSAFİRHANEMİZ
FERDİ KAZA SİGORTASI
FKS Anlaşma Metni
FKS Yararlananlar
İLETİŞİM
ÜYELİK İŞLEMLERİ
DİJİTAL KİMLİK
Ana Sayfa
Haberler
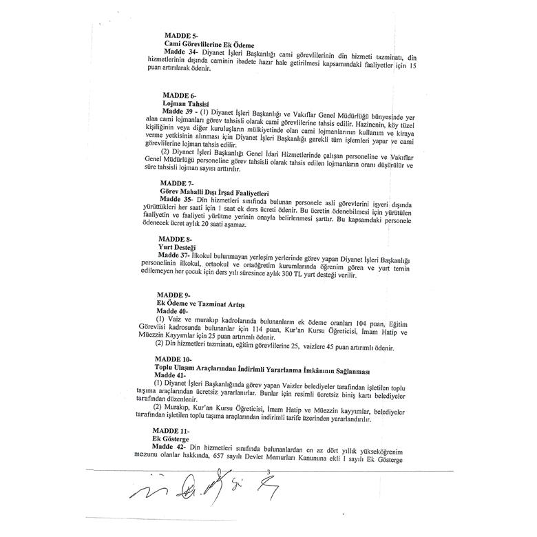
DİYANET SEN DEN TOPLU SÖZLEŞMEYE YÖNELİK YORUMSUZ TEKLİFLER
DİYANET SEN DEN TOPLU SÖZLEŞMEYE YÖNELİK YORUMSUZ TEKLİFLER
17 Ağustos 2015
A-
A
A+
Bu haberi paylaş: